【导语】:根据中国人民银行的统一安排,交通银行、农业银行山东省分行承担了中国人民抗日战争暨世界反法西斯战争胜利80周年普通纪念币(以下简称抗战胜利80周年币)的预约兑换工作,现将有关事项公告如下:
济南市抗战胜利80周年纪念币预约兑换网点
✅在山东省承办银行:中国农业银行、交通银行
✅各地区预约银行如下:

交通银行:

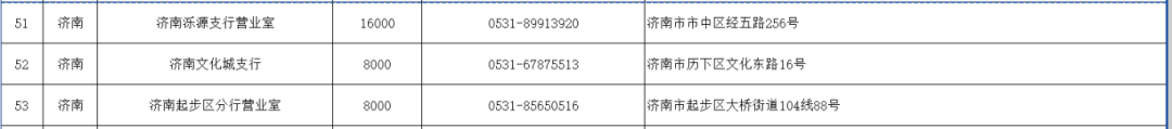
中国农业银行:






温馨提示:微信搜索公众号【济南本地宝】,关注后在聊天对话框回复【抗战纪念币】获取2025抗战80周年纪念币各大银行预约入口、预约兑换专题、预约时间、预约银行、发行量、兑换时间安排、兑换限额、预约证件要求、纪念币图案、公众防伪特征等信息。












